The extent of drug input in the Deconvolution object is presented in two ways. First, the amount of drug input is calculated as:

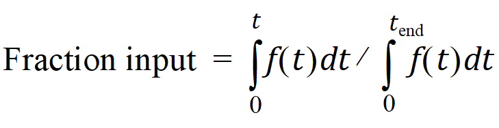
Second, the extent of drug input is given in terms of fraction input. If test doses are not supplied, the fraction is defined in a non-extrapolated way as the fraction of drug input at time t relative to the amount input at the last sample time, tend:

The above fraction input will by definition have a value of one at the last observation time, tend. This value should not be confused with the fraction input relative to either the dose or the total amount absorbed from a reference dosage form. If dosing data is user-specified, the fraction input is relative to the dose amount (i.e., dose input on the dosing sheet).
Legal Notice | Contact Certara
© Certara USA, Inc. All rights reserved.