lnegbin_rp: logarithm of the probability mass function of a negative binomial, distribution parameterized by r and p, with its syntax given by lnegbin_rp(r, p, y)
megnin_rp: generate a random sample from a negative binomial distribution parameterized by r and p with its syntax given by rnegbin_rp(r, p)
lnegbin: logarithm of the probability mass function of a negative binomial distribution parameterized by mean, beta (=log(alpha)), and power with its syntax given by lnegbin(mean, beta, power, y)
pnegbin: probability mass function of a negative binomial distribution parameterized by mean, beta (= log(alpha)), and power (see the “Count statement for Count models” section for details) with its syntax given by pnegbin(mean, beta, power, y)
rnegbin: generate a random sample from a negative binomial distribution parameterized by mean beta (= log(alpha)), and power with its syntax given by rnegbin(mean, beta, power)
lpois: logarithm of the probability mass function of a Poisson distribution with its syntax given by lpois(mean, n), which returns the value of log(mean^n*exp(–mean)/n!).
ppois: probability mass function of a Poisson distribution with its syntax given by ppois(mean, n), which is the same as exp(lpois(mean, n)).
rpois: generate a random sample from a Poisson distribution (e.g., rpois(lambda) returns a random sample from a Poisson distribution with mean being lambda).
unifToPoisson: convert a uniform random number between 0 and 1 to a Poisson random number with its syntax given by unifToPoisson(mean, r), where mean denotes the mean of the Poisson distribution and r is the uniform random number.
norm: probability density function (PDF) of a normal distribution with mean being 0.
Its syntax is given by norm(x, std), where std denotes the standard deviation for the normal distribution.
lnorm: logarithm of the probability density function (PDF) of a normal distribution with mean being 0.
Its syntax is given by lnorm(x, std), where std denotes the standard deviation for the normal distribution.
lphi: logarithm of the cumulative distribution function (CDF) of a normal distribution with mean being 0. Its syntax is given by lphi(x, v), where std denotes the standard deviation of the normal distribution.
phi: the CDF of the standard normal distribution with syntax given by phi(x).
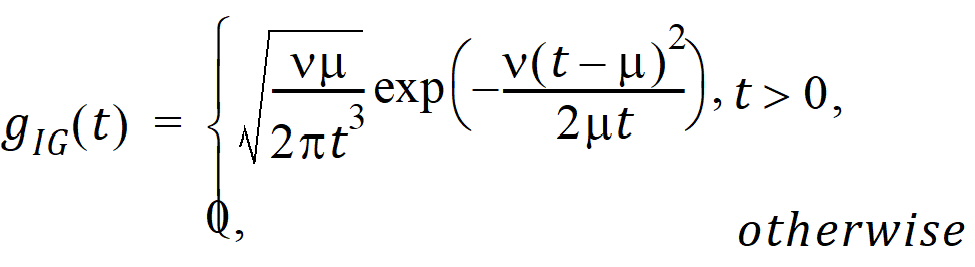
dinvgauss: the PDF of an inverse Gaussian distribution parameterized by mean m and shape parameter n

with its syntax given by dinvgauss(t, mean, shape).
ldinvgauss: logarithm of the PDF of an inverse Gaussian distribution parameterized by mean m and shape parameter n with its syntax given by ldinvgauss(t, mean, shape); that is, ldinvgauss(t, mean, shape) = log(dinvgauss(t, mean, shape).
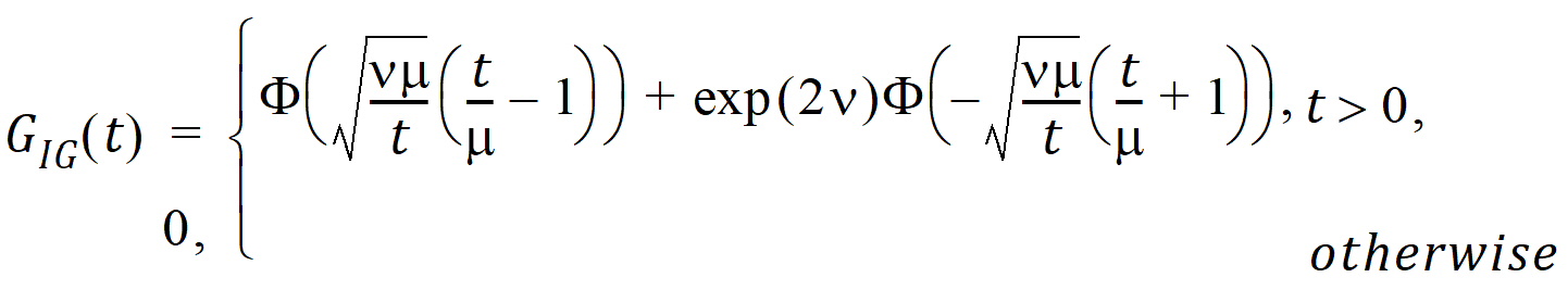
pinvgauss: the CDF of an inverse Gaussian distribution parameterized by mean m and shape parameter n

with a syntax given by pinvgauss(t, mean, shape). Here F denotes the CDF of the standard normal distribution.
lpinvgauss: the logarithm of the CDF of an inverse Gaussian distribution parameterized by mean m and shape parameter n with its syntax given by lpinvgauss(t, mean, shape). That is, lpinvgauss(t, mean, shape) = log(pinvgauss(t, mean, shape)).
dweibull: the PDF of a Weibull distribution parameterized by the shape parameter n and the scale parameter l

with its syntax given by dweibull(x, shape, scale).
ldweibull: the logarithm of the PDF of a Weibull distribution parameterized by the shape parameter n and the scale parameter l with its syntax given by ldweibull(x, shape, scale). That is, ldweibull(x, shape, scale) = log(dweibull(x, shape, scale)).
pweibull: the CDF of a Weibull distribution parameterized by the shape parameter n and the scale parameter l

with its syntax given by pweibull(x, shape, scale).
lpweibull: logarithm of the CDF of a Weibull distribution parameterized by the shape parameter n and the scale parameter l with its syntax given by lpweibull(x, shape, scale). That is, lpweibull(x, shape, scale) = log(pweibull(x, shape, scale)).
Legal Notice | Contact Certara
© Certara USA, Inc. All rights reserved.