For non-compartmental analysis of concentration data, Phoenix computes additional parameters for different time range computations, as listed below. The parameters included depend on whether upper, lower, or both limits are supplied. See the “Therapeutic response windows” section for additional computation details.
Time range from dose time to last observation
Additional parameters:
TimeLow: Total time below lower limit. Included when lower or both limits are specified.
TimeBetween: Total time between lower/upper limits. Included when both limits are specified.
TimeHigh: Total time above upper limit. Included when lower or both limits are specified.
AUCLow: AUC that falls below lower limit: Included when lower or both limits are specified.
AUCBetween: AUC that falls between lower/upper limits. Included when both limits are specified.
AUCHigh: AUC that falls above upper limit. Included when lower or both limits are specified.
Time range from dose time to infinity using Lambda Z (if Lambda Z exists)
Additional parameters:
TimeInfBetween: Total time (extrapolated to infinity) between lower/upper limits. Included when both limits are specified.
TimeInfHigh: Total time (extrapolated to infinity) above upper limit. Included when lower or both limits are specified.
AUCInfLow: AUC (extrapolated to infinity) that falls below lower limit: Included when lower or both limits are specified.
AUCInfBetween: AUC (extrapolated to infinity) that falls between lower/upper limits. Included when both limits are specified.
AUCInfHigh: AUC (extrapolated to infinity) that falls above upper limit. Included when lower or both limits are specified.
For therapeutic windows, one or two boundaries for concentration values can be given, and the program computes the time spent in each window determined by the boundaries and computes the area under the curve contained in each window. To compute these values, for each pair of consecutive data points, including the inserted point at dosing time if there is one, it is determined if a boundary crossing occurred in that interval. Call the pair of time values from the dataset (ti, ti+1) and called the boundaries ylower and yupper.
If no boundary crossing occurred, the difference ti+1, ti is added to the appropriate parameter TimeLow, TimeBetween, or TimeHigh, depending on which window the concentration values are in. The AUC for (ti, ti+1) is computed following the specified AUC calculation method as described in the “Options tab” section. Call this AUC*. The parts of this AUC* are added to the appropriate parameters AUCLow, AUCBetween, or AUCHigh. For example, if the concentration values for this interval occur above the upper boundary, the rectangle that is under the lower boundary is added to AUCLow, the rectangle that is between the two boundaries is added to AUCBetween and the piece that is left is added to AUCHigh. This is equivalent to these formulae:
AUCLow = AUCLow + ylower(ti+1 – ti)
AUCBetween = AUCBetween + (yupper – ylower)(ti+1 – ti)
AUCHigh = AUCHigh + AUC* – yupper(ti+1 – ti)
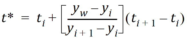
If there was one boundary crossing, an interpolation is done to get the time value where the crossing occurred; call this t*. The interpolation is done by either the linear rule or the log rule following the AUC calculation method as described in the “Options tab” section, i.e., the same rule is used as when inserting a point for partial areas. To interpolate to get time t* in the interval (ti, ti+1) at which the concentration value is yw:
Linear interpolation rule for time:

Log interpolation rule for time:

The AUC for (ti, t*) is computed following the specified AUC calculation method. The difference t* – ti is added to the appropriate time parameter and the parts of the AUC are added to the appropriate AUC parameters. Then the process is repeated for the interval (t*, ti+1).
If there were two boundary crossings, an interpolation is done to get t* as above for the first boundary crossing, and the time and parts of AUC are added in for the interval (ti, t*) as above. Then another interpolation is done from ti to ti+1 to get the time of the second crossing t** between (t*, ti+1), and the time and parts of AUC are added in for the interval (t*, t**). Then the times and parts of AUC are added in for the interval (t**, ti+1).
The extrapolated times and areas after the last data point are now considered for the therapeutic window parameters that are extrapolated to infinity. For any of the AUC calculation methods, the AUC rule after Tlast is the log rule, unless an endpoint for the interval is negative or zero in which case the linear rule must be used. The extrapolation rule for finding the time t* at which the extrapolated curve would cross the boundary concentration yw is:

If last concentration value in the dataset is zero, zero was used in the above computation for the last interval but now ylast is replaced with the following if Lambda Z is estimable:
ylast = exp(Lambda_z_intercept – Lambda_z(Tlast))
If ylast is in the lower window: InfBetween and InfHigh values equal Between and High values. If Lambda Z is not estimable, AUCInfLow is missing. Otherwise:
AUCInfLow = AUCLow + (ylast / Lambda_z)
If ylast is in the middle window for two boundaries: InfHigh values are the same as High values. If Lambda Z is not estimable, InfLow and InfBetween parameters are missing. Otherwise: Use the extrapolation rule to get t* at the lower boundary concentration. Add time from Tlast to t* into TimeInfBetween. Compute AUC* from Tlast to t*, add the rectangle that is under the lower boundary into AUCInfLow, and add the piece that is left into AUCInfBetween. Add extrapolated area in the lower window into AUCInfLow. This is equivalent to:
t* = (1/Lambda_z)(Lambda_z_intercept – ln(ylower))
TimeInfBetween = TimeBetween + (t* – Tlast)
AUCInfBetween = AUCBetween + AUC* – ylower(t* – Tlast)
AUCInfLow = AUCLow + ylower(t* – Tlast) + ylower / Lambda_z
If ylast is in the top window when only one boundary is given, the above procedure is followed and the InfBetween parameters become the InfHigh parameters.
If there are two boundaries and ylast is in the top window: If Lambda Z is not estimable, all extrapolated parameters are missing. Otherwise, use the extrapolation rule to get t* at the upper boundary concentration value. Add time from Tlast to t* into TimeInfHigh. Compute AUC* for Tlast to t*, add the rectangle that is under the lower boundary into AUCInfLow, add the rectangle that is in the middle window into AUCInfBetween, and add the piece that is left into AUCInfHigh. Use the extrapolation rule to get t** at the lower boundary concentration value. Add time from t* to t** into TimeInfBetween. Compute AUC** from t* to t**, add the rectangle that is under the lower boundary into AUCInfLow, and add the piece that is left into AUCInfBetween. Add the extrapolated area in the lower window into AUCInfLow. This is equivalent to:
t* = (1/Lambda_z)(Lambda_z_intercept – ln(yupper))
t** = (1/Lambda_z)(Lambda_z_intercept – ln(ylower))
TimeInfHigh = TimeHigh + (t* – Tlast)
TimeInfBetween = TimeBetween + (t** – t*)
AUCInfHigh = AUCHigh + AUC* – yupper(t* – tlast)
AUCInfBetween = AUCBetween
+ AUC* + (yupper – ylower)(t* – tlast)
+ AUC** – ylower(t** – t*)
AUCInfLow = AUCLow + ylower(t* – tlast)
+ ylower(t** – t*) + ylower / Lambda_z
Legal Notice | Contact Certara
© Certara USA, Inc. All rights reserved.