When pharmacological effects are seen immediately and are directly related to the drug concentration, a pharmacodynamic model is applied to characterize the relationship between drug concentrations and effect. Phoenix includes the following PD models:
Notation definitions
Emax: Maximum drug effect.
Imax: Maximum drug inhibition.
E0: Baseline effect (effect at C = 0).
EC50: Concentration in plasma that achieves 50% of predicted maximum effect in an Emax model.
IC50: Drug concentration required to produce 50% of the maximal inhibition.
Rmax: Effect at infinity (includes maximum drug effect/inhibition and baseline).
F_Emax: Fractional change in effect from baseline E0.
Gamma: Shape parameter.
Model 101: Simple Emax model.


Estimated parameters: Emax, EC50
Effect = 0 at C = 0 and Emax at C = infinity
Model 102: Simple Emax model with a baseline effect parameter.


Estimated parameters: Emax, EC50, E0
Secondary parameters: Rmax = Emax + E0, F_Emax = Emax/E0
Effect = E0 at C = 0 and Emax + E0 at C = infinity
Model 103: Inhibitory effect model.


Estimated parameters: E0, IC50
Effect = 0 at C = 0 and Emax at C = infinity
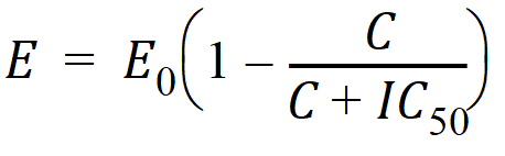
Model 104: Inhibitory effect model with a baseline effect parameter.


Estimated parameters: Imax, IC50, E0
Secondary parameters: Rmax = E0 – Imax, F_Imax = Imax/E0
Effect = E0 at C = 0 and E0 – Imax at C = infinity
Model 105: Sigmoid Emax model.


Estimated parameters: Emax, EC50, Gamma
Effect = 0 at C = 0 and Emax at C = infinity
Model 106: Sigmoid Emax model with a baseline effect parameter.


Estimated parameters: Emax, EC50, E0, Gamma
Secondary parameters: Rmax = Emax + E0, F_Emax = Emax/E0
Effect = E0 at C = 0 and Emax + E0 at C = infinity
Model 107: Sigmoid inhibitory effect model.


Estimated parameters: E0, IC50, Gamma
Effect = E0 at C = 0 and 0 at C = infinity
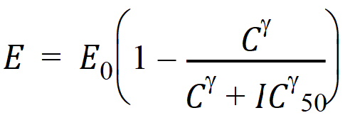
Model 108: Sigmoid inhibitory effect model with a baseline effect parameter.


Estimated parameters: Imax, IC50, E0, Gamma
Secondary parameters: Rmax = E0 – Imax, F_Imax = Imax/E0
Effect = E0 at C = 0 and E0 – Imax at C = infinity
PD output parameters in a PK-PD model
The output parameters for PD models in a linked PK/PD model differ from the parameters for PD models that are not linked. The following list shows the PD model parameters used in linked PK/PD models.
101 Simple Emax model
Estimated parameters: Emax, EC50, Ke0
102 Simple Emax model with a baseline effect
Estimated parameters: Emax, EC50, E0, Ke0
Secondary parameters: Rmax, F_Emax
103 Inhibitory effect E0 model
Estimated parameters: E0, IC50, Ke0
104 Inhibitory effect Imax model with a baseline effect
Estimated parameters: Imax, IC50, E0, Ke0
Secondary parameters: Rmax, F_Emax
105 Sigmoid Emax model
Estimated parameters: Emax, EC50, Gamma, Ke0
106 Sigmoid Emax model with a baseline effect
Estimated parameters: Emax, ECe50, E0, Gamma, Ke0
Secondary parameters: Rmax, F_Emax
107 Inhibitory effect sigmoid E0 model
Estimated parameters: E0, IC50, Gamma, Ke0
108 Inhibitory effect sigmoid Imax model with a baseline effect
Estimated parameters: Imax, IC50, E0, Gamma, Ke0
Secondary parameters: Rmax, F_Emax
Below are definitions for the estimated and secondary parameters.
Emax: Maximum drug effect.
Imax: Maximum drug inhibition.
EC50: Concentration in plasma that achieves 50% of predicted maximum effect in an Emax model.
ECe50: For effect compartment models, the concentration at the effect site that achieves 50% of predicted maximum effect in an Emax model.
IC50: Drug concentration required to produce 50% of the maximal inhibition.
E0: Baseline effect (effect at 0). In models 103 and 107, E0 could also be named Imax, the maximum drug inhibition.
Gamma: Shape parameter.
Ke0: Exit rate constant from effect compartment.
Rmax: Observed or predicted maximum response.
F_Emax: Fractional change in response from baseline E0.
Legal Notice | Contact Certara
© Certara USA, Inc. All rights reserved.