Summary statistics can be weighted by selecting a column in the dataset in the Main Mappings panel to provide weights. If a weight is non-numeric or missing, the observation is excluded from the analysis. Weighted descriptive statistics output also includes a text file called Settings that contains user-specified settings. Some summary statistics and all percentiles are excluded from weighted output.
The output for weighted summary statistics contains a column indicating the summary variable(s), one for each sort variable, and the statistics listed below.
CI X% Lower: Lower limit of an X% confidence interval for the weighted data:
Weighted Mean – ta/2 x Weighted SD
CI X% Lower Mean: Lower limit of an X% confidence interval for the weighted mean.
CI X% Lower Var: Lower limit of an X% confidence interval for the weighted variance.
CI X% Upper: Upper limit of an X% confidence interval for the weighted data:
Weighted Mean + ta/2 x Weighted SD
CI X% Upper Mean: Upper limit of an X% confidence interval for the weighted mean.
CI X% Upper Var: Upper limit of an X% confidence interval for the weighted variance.
CV%: Weighted coefficient of variation:
(Weighted SD/Weighted Mean)*100
Kurtosis Pop: Weighted coefficient of excess (population excess kurtosis):

Lower XSD and Upper XSD: Range determined by adding or subtracting X weighted standard deviations from the weighted mean:
Weighted Mean +/– X*Weighted SD
Max: Maximum value
Mean: Weighted arithmetic average:

Min: Minimum value
N: Number of non-missing observations (including those with weights = zero)
NMiss: Number of observations with missing data
NObs: Number of observations (including observations with weights = zero)
Range: Range of values (maximum value minus minimum value)
SD: Weighted standard deviation:

SE: Weighted standard error:

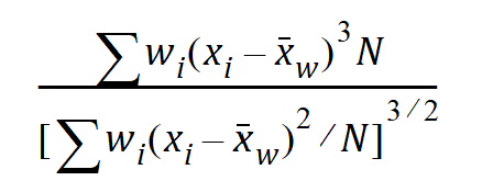
Skewness Pop: Weighted coefficient of skewness (population skewness):

Sum: Weighted Sum:

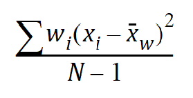
Variance: Weighted variance:

where
is the weighted mean.
Legal Notice | Contact Certara
© Certara USA, Inc. All rights reserved.